Rigid polyurethane foam is a popular polyurethane products. PIR and PUR are both types of rigid polyurethane foam, but there are some differences in their physical and chemical properties, and it is particularly important to know how to judge and choose between them.

1. The introduction of PIR
Polyisocyanurate (PIR) is produced by the reaction of isocyanate and polyester polyol. It is a new type of deep-cooled insulation material that can be used for a wide range of pipes and equipment in the temperature range of -196°C to 120°C, as well as for the insulation needs of buildings. It has an extremely low thermal conductivity, as well as an excellent coefficient of linear expansion and strength, and is extremely resistant to ageing.

2. The introduction of PUR
Polyurethane (PUR) is a polymer made by reacting isocyanate with polyether polyol. It have many excellent properties, so it is widely used and there are a wide range of products made by it. The products are mainly divided into two categories: foamed products and non-foamed products. Foamed products include soft, rigid and semi-rigid PUR foam; non-foamed products include coatings, adhesives, synthetic leather, elastomers and elastic fibres, of which PUR foam is the most widely used.
3. Differences between PIR and PUR
(1) Differences in molecular structure
a. PUR is produced by reacting an isocyanate with a polyether polyol,
the molecular structure is :

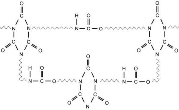
b. PIR is produced by the reaction of an isocyanate and a polyester polyol, the
molecular structure is:

(2) Differences in the ability of fireproof
a. PUR: It generally belongs to B3 level and can be B2 level by adding a flame retardant.
b. PIR: It generally belongs to B2 level, but can be B1 level by adjusting the concentration of polyisocyanurate rings and using other formulation techniques, and this time the oxygen index can reach over 35% .
(3) Differences in the ability of heat preservation
a. PUR: At 25℃, its thermal conductivity is generally 0.022 to 0.026 w/mk.
b. PIR: At 25℃, its thermal conductivity can be as low as 0.019 w/mk.

(4) Differences in the volume weight
a. PUR: Generally, the satisfactory requirement of strength can be achieved with a weight of 38 to 40 kg for one cubic meter.
b. PIR: Generally, the satisfactory requirement of strength can be achieved with a weight of 40 to 45 kg for one cubic meter.
(5) Differences in the temperature range
a. PUR: - 185℃~110℃
b. PIR: -196℃~205℃
(6) Differences in the water absorption
a. PUR: 2.5~3%
b. PIR: Its water absorption can reach to 0.9%.
Zhejiang Zhenshen Insulation Technology Co., Ltd. is a company boasts its combination of design, research and development, production, installation, repair after sales. It focuses on advancing technology in the field of thermal insulation. The main products include not only rigid polyurethane (PUR) and polyisocyanurate (PIR), but also foam glass, pipe brackets, bonding mortar, plastering mortar, perlite concrete precast blocks, flame retardant horseshoe ester, sealant and binder.
If you need above products, please email us at trading1@zhenshen.cn and we will reply to you as soon as possible.